Упр.113 ГДЗ Алимов 10-11 класс (Алгебра)
Решение #1
Решение #2

Рассмотрим вариант решения задания из учебника Алимов, Колягин, Ткачёва 10 класс, Просвещение:
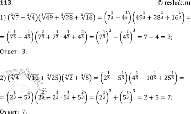
113. Вычислить:
1) (корень 3 степени 7 - корень 3 степени 4)(корень 3 степени 49 + корень 3 степени 28 + корень 3 степени 16);
2) (корень 3 степени 4 - корень 3 степени 10 + корень 3 степени 25)(корень 3 степени 2 + корень 3 степени 5).
*размещая тексты в комментариях ниже, вы автоматически соглашаетесь с пользовательским соглашением