Упр.190 ГДЗ Алимов 10-11 класс (Алгебра)
Решение #1
Решение #2

Рассмотрим вариант решения задания из учебника Алимов, Колягин, Ткачёва 10 класс, Просвещение:
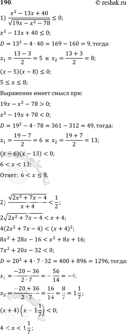
190.1) (x2-13x+40)/(корень 19x-x2-78) <=0;
2) (корень (2x2+7x-4))/(x+4) < 1/2;
3) корень (3+x) > |x-3|;
4) корень (3-x) < корень (7+x) + корень (10+x).
*размещая тексты в комментариях ниже, вы автоматически соглашаетесь с пользовательским соглашением