Упр.367 ГДЗ Алимов 10-11 класс (Алгебра)
Решение #1
Решение #2

Рассмотрим вариант решения задания из учебника Алимов, Колягин, Ткачёва 10 класс, Просвещение:
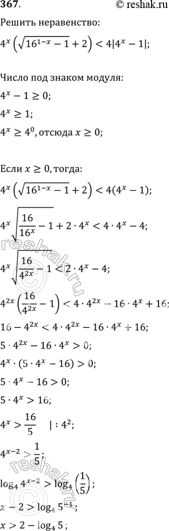
367. 4x ((корень (16^(1-x) - 1) +2 <4|4x-1|
*размещая тексты в комментариях ниже, вы автоматически соглашаетесь с пользовательским соглашением