Упр.44 ГДЗ Алимов 10-11 класс (Алгебра)
Решение #1
Решение #2

Рассмотрим вариант решения задания из учебника Алимов, Колягин, Ткачёва 10 класс, Просвещение:
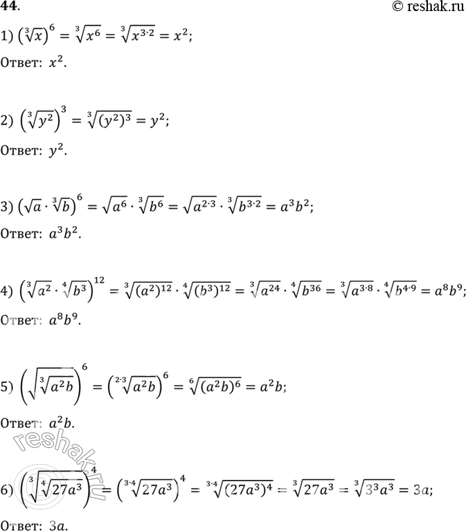
44. Упростить выражение:
1) (корень 3 степени x)6;
2) (корень 3 степени y2)3;
3) (корень a * корень 3 степени b)6;
4) (корень 3 степени a2 * корень 4 степени b3)12;
5) (корень корень 3 степени a2b)6;
6) (корень 3 степени корень 4 степени 27a3)4.
*размещая тексты в комментариях ниже, вы автоматически соглашаетесь с пользовательским соглашением