Упр.476 ГДЗ Алимов 10-11 класс (Алгебра)
Решение #1
Решение #2

Рассмотрим вариант решения задания из учебника Алимов, Колягин, Ткачёва 10 класс, Просвещение:
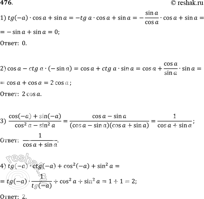
476 Упростить выражение:
а) tg(-a)cosa+sina;
2) cosa-ctga*(-sina);
3) ((cos(-a) + sin(-a))/(cos2a - sin2a);
4) tg(-a) ctg(-a) + cosa2(-a) + sin2a.
*размещая тексты в комментариях ниже, вы автоматически соглашаетесь с пользовательским соглашением