Упр.526 ГДЗ Алимов 10-11 класс (Алгебра)
Решение #1
Решение #2

Рассмотрим вариант решения задания из учебника Алимов, Колягин, Ткачёва 10 класс, Просвещение:
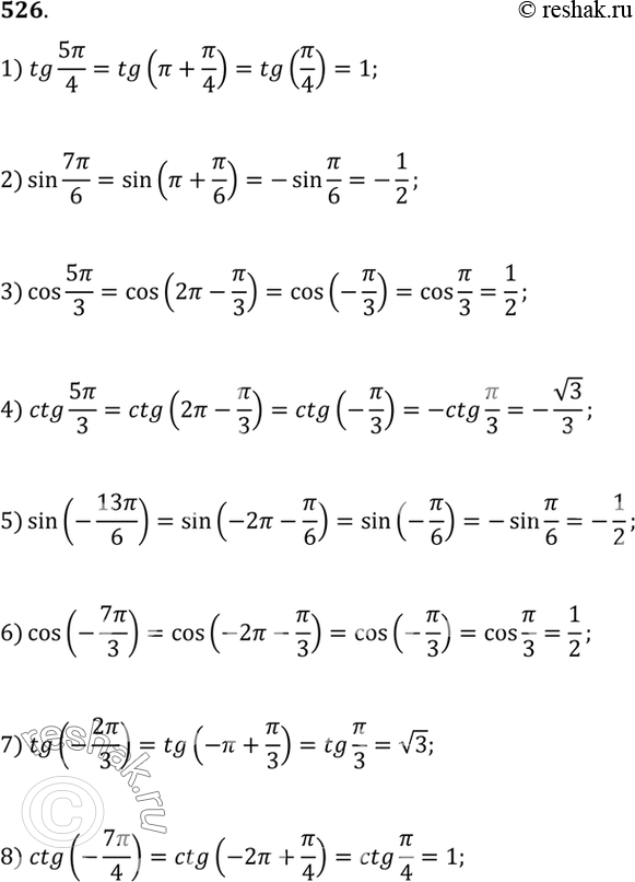
526 1)tg 5пи/4;
2)sin 7пи/6;
3) cos 5пи/3;
4) ctg 5 пи/3;
5) sin (-13пи/6);
6) cos (-7 пи/3);
7) tg (-2 пи/3);
8) ctg (-7пи/4).
*размещая тексты в комментариях ниже, вы автоматически соглашаетесь с пользовательским соглашением