Упр.590 ГДЗ Алимов 10-11 класс (Алгебра)
Решение #1
Решение #2

Рассмотрим вариант решения задания из учебника Алимов, Колягин, Ткачёва 10 класс, Просвещение:
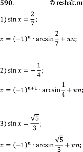
590 1) sinx-2/7;
2) sinx=-1/4;
3) sinx= корень 5/3.
*размещая тексты в комментариях ниже, вы автоматически соглашаетесь с пользовательским соглашением