Упр.601 ГДЗ Алимов 10-11 класс (Алгебра)
Решение #1
Решение #2

Рассмотрим вариант решения задания из учебника Алимов, Колягин, Ткачёва 10 класс, Просвещение:
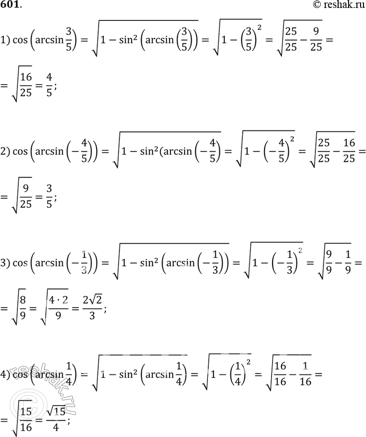
Вычислить (601—603).
601 1) cos(arcsin3/5);
2) cos( arcsin(-4/5));
3) cos(arcsin(-1/3));
4) cos(arcsin 1/4).
*размещая тексты в комментариях ниже, вы автоматически соглашаетесь с пользовательским соглашением