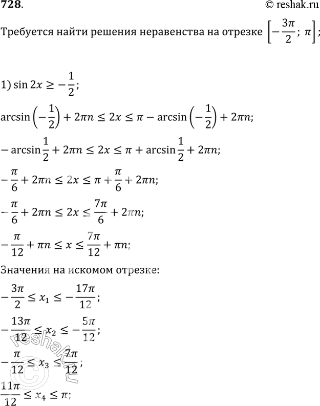
Упр.728 ГДЗ Алимов 10-11 класс (Алгебра)
Решение #1
Решение #2

Рассмотрим вариант решения задания из учебника Алимов, Колягин, Ткачёва 11 класс, Просвещение:
728 Найти все корни уравнения, принадлежащие отрезку [-3пи/2;пи]:
1) sin2x>=-1/2;
2) sin3x< корень 3/2.
*размещая тексты в комментариях ниже, вы автоматически соглашаетесь с пользовательским соглашением