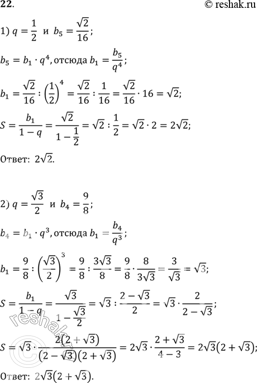
Упр.22 ГДЗ Алимов 10-11 класс (Алгебра)
Решение #1
Решение #2

Рассмотрим вариант решения задания из учебника Алимов, Колягин, Ткачёва 10 класс, Просвещение:
22. Найти сумму бесконечно убывающей геометрической прогрессии, если:
1) q=1/2, b5=корень 2/16;
1) q=корень 3/2, b4= 9/8.
*размещая тексты в комментариях ниже, вы автоматически соглашаетесь с пользовательским соглашением