Упр.28 ГДЗ Алимов 10-11 класс (Алгебра)
Решение #1
Решение #2

Рассмотрим вариант решения задания из учебника Алимов, Колягин, Ткачёва 10 класс, Просвещение:
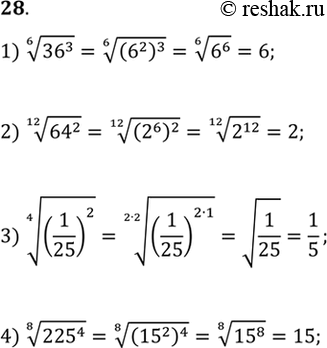
28. Вычислить (28—30).
1) корень 6 степени 36^3;
2) корень 12 степени 64^2;
3) корень 4 степени ((1/25)3);
4) корень 8 степени 225^4.
*размещая тексты в комментариях ниже, вы автоматически соглашаетесь с пользовательским соглашением