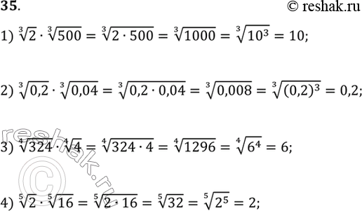
Упр.35 ГДЗ Алимов 10-11 класс (Алгебра)
Решение #1
Решение #2

Рассмотрим вариант решения задания из учебника Алимов, Колягин, Ткачёва 10 класс, Просвещение:
35. 1) корень 3 степени 2 * корень 3 степени 500;
2) корень 3 степени 0,2 * корень 3 степени 0,04;
3) корень 4 степени 324 * корень 4 степени 4;
4) корень 5 степени 2 * корень 5 степени 16;
*размещая тексты в комментариях ниже, вы автоматически соглашаетесь с пользовательским соглашением