Упр.31 ГДЗ Алимов 10-11 класс (Алгебра)
Решение #1
Решение #2

Рассмотрим вариант решения задания из учебника Алимов, Колягин, Ткачёва 10 класс, Просвещение:
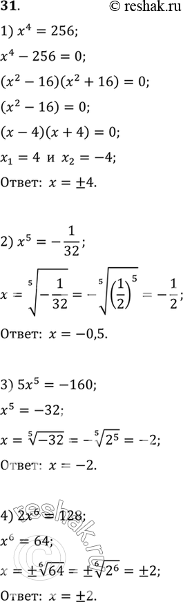
31. Решить уравнение:
1) х4 = 256;
2) x5 = - 1/32;
3) 5x5 = -160;
4) 2х6 = 128.
*размещая тексты в комментариях ниже, вы автоматически соглашаетесь с пользовательским соглашением