Упр.685 ГДЗ Алимов 10-11 класс (Алгебра)
Решение #1
Решение #2

Рассмотрим вариант решения задания из учебника Алимов, Колягин, Ткачёва 10 класс, Просвещение:
Решить систему уравнений (685—686).
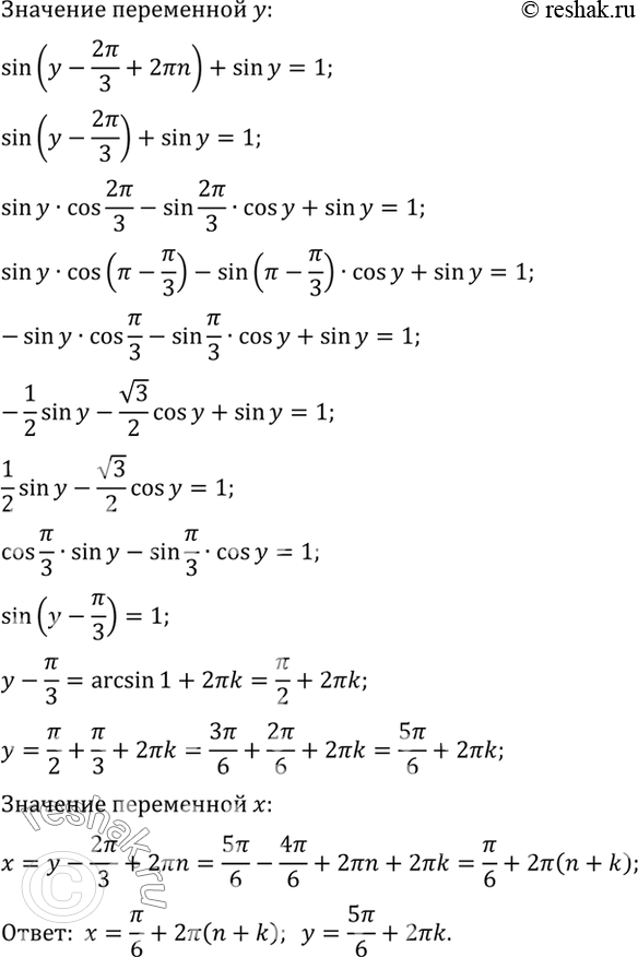
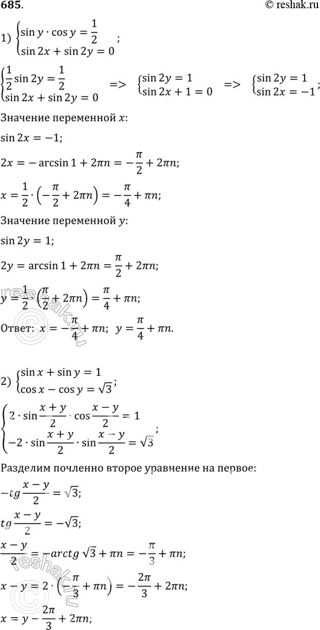
685 1) cистема
sinycosy=1/2,
sin2x+sin2y=0;
2) система
sinx+siny=1,
cosx-cosy= корень 3.
*размещая тексты в комментариях ниже, вы автоматически соглашаетесь с пользовательским соглашением