Упр.702 ГДЗ Алимов 10-11 класс (Алгебра)
Решение #1
Решение #2

Рассмотрим вариант решения задания из учебника Алимов, Колягин, Ткачёва 11 класс, Просвещение:
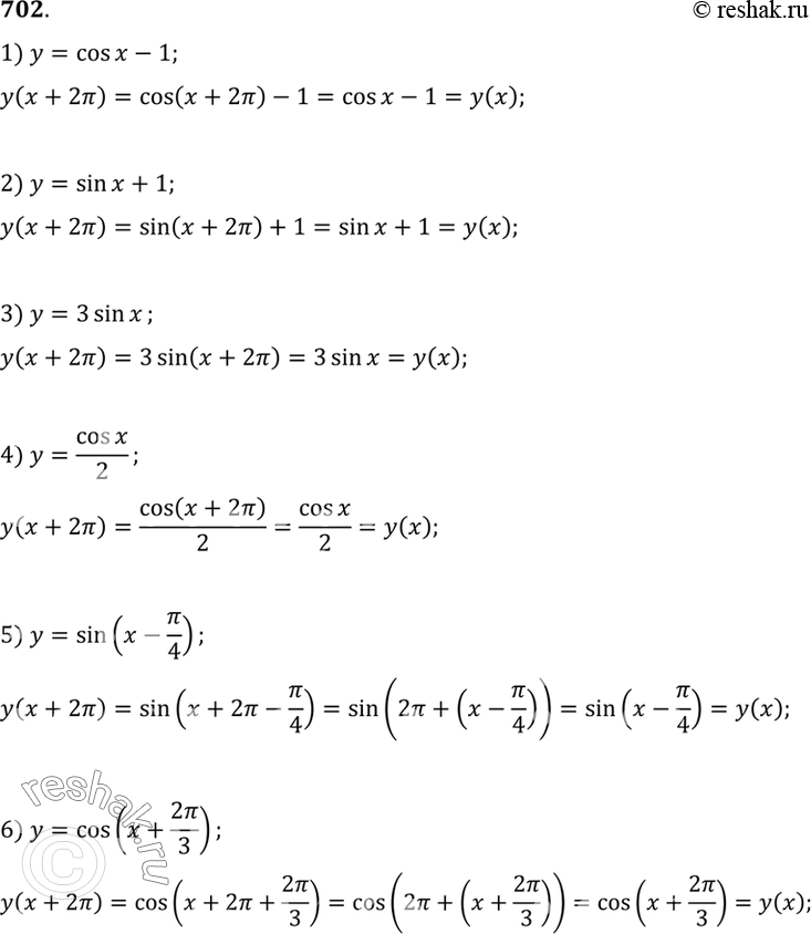
702 Доказать, что функция y=f(x) является периодической с периодом 2пи, если:
1) y=cosx-1;
2) y=sinx+1;
3) y=3sinx;
4) y=cosx/2;
5) y=sin(x-пи/4);
6) y=cos(x+2пи/3).
*размещая тексты в комментариях ниже, вы автоматически соглашаетесь с пользовательским соглашением