Упр.780 ГДЗ Алимов 10-11 класс (Алгебра)
Решение #1
Решение #2

Рассмотрим вариант решения задания из учебника Алимов, Колягин, Ткачёва 11 класс, Просвещение:
780 Используя определение производной, найти f'(x), если:
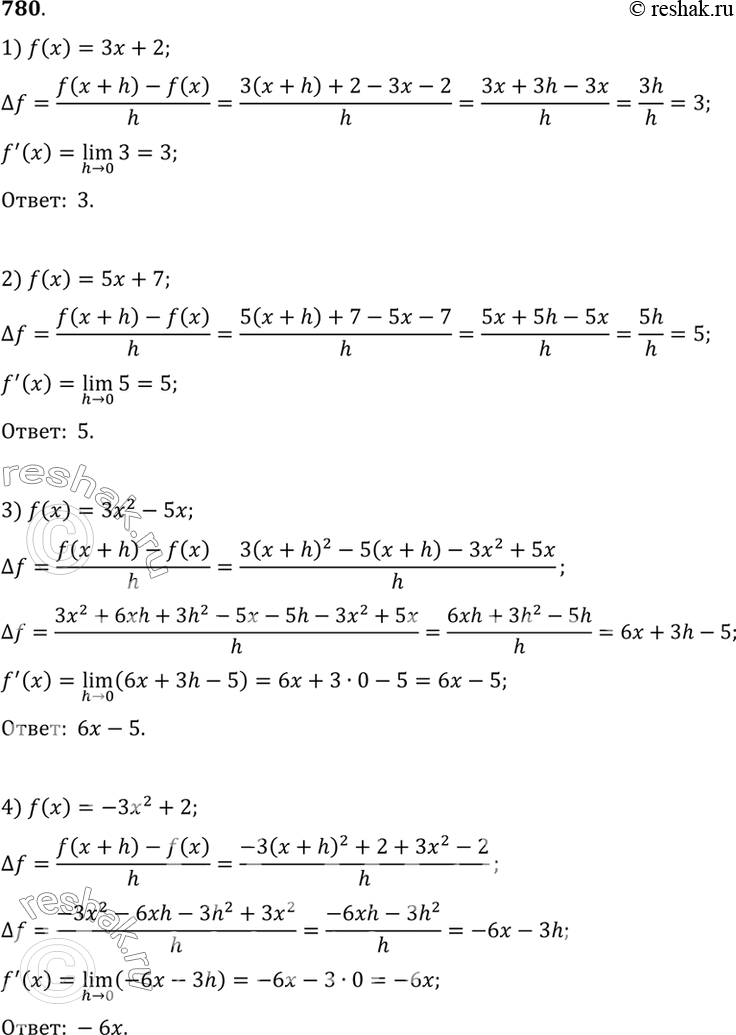
1) f(x) =3x+2;
2) f(x) =5x+7;
3) f(x) =3x2-5x;
4) f(x) =-3x2+2.
*размещая тексты в комментариях ниже, вы автоматически соглашаетесь с пользовательским соглашением